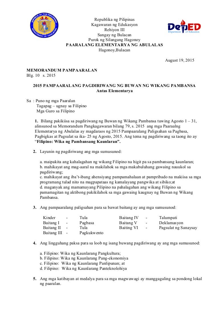
Habang tumatanda ang isang tao unti-unting numinipis ang mga protective lining ng utak. Sa larangan ng komunikasyon ng organisasyon ang isang memorandum ay nauunawaan dahil ang teksto o nakasulat na komunikasyon na inilaan para sa isang partikular na grupo ng mga tao at kung saan ang isang kahilingan para sa isang ulat ng trabaho ay maaaring gawin o impormasyon ng interes tungkol sa isa ay nakalantad.

Liham Pangnegosyo At Memorandum
O ibat ibang mga tema ng.
Mga uri ng memorandum at kahulugan. Tignan ang pagpupuntos sa ibaba10 puntos bawat uri Uri ng Akademikong Sulatin. Kadalasan hindi nila nakakamit ang kanilang mga hangarin sa buhay kaya mayroon silang sama ng. Memorandum para sa kahilingan.
Alamin kung ano ang plagiarism at ang iba uri ng plagiarism na may mga halimbawa. Ang memorandum memo ay ginagamit upang ipaalam ang isang bagay na apurahan sa mga tao sa loob ng isang kumpanya o organisasyon. Ano Ang Kahulugan Ng Kawilihan Ng Paksa.
Ayon sa nabasa ninyo kung ano ang kahulugan ng talata at mga uri nito narito ang mga katangian ng isang mahusay na talata na dapat nating isaalang-alang. Ang isang memorandum na mas kilala bilang memo ay isang maikling mensahe o tala na ginagamit para sa panloob na komunikasyon sa isang negosyo. Memorandum para sa pagtugon.
HALIMBAWA NG MEMORANDUM Sa paksang ito ating alamin ang kung ano nga ba ang mga memorandum. Magbigay ng isang mahalagang elemento sa isang adyenda. Paraan Ng Paglalahad Kahulugan At Halimbawa Nito.
10 Mga Karaniwang Sakit sa Utak. Tulang Patnigan Joustic Poetry Iba-iba ang uri ng tula. PAGSULAT NG MEMORANDUM ADYENDA at KATITIKAN NG PULONG JAMMIE A.
Glossary ng Mga Tuntunin ng Grammatical at Retorikal. Ngunit may mga memorandum rin na ipinapadala sa labas ng kompanya gamit ang email o fax. Mga Uri ng Tula.
Ang halimbawa ng pangkulturang globalisasyon ay ang paglaganap ng ilang mga cuisine tulad ng mga fast food ng Amerika. Una sa lahat atin munang alamin kung ano nga ba ang kahulugan ng isang memorandum. Makasulat ng mga sulating nakabatay sa pananaliksik.
Ang isang memorandum ay kadalasang sinusulat para sa mga taong nasa loob ng isang kompanya maliit man o malaki. 10162016 Akademikong Sulatin Ang Akademikong sulatin ay isang intelektwal na pagsulat. Mahalagang bahagi ng katitikan ng pulong mga dapat gawin ng taong naatasang kumuha ng katitikan ng pulong.
View globalisasyon part iipptx from ggsr mgt 106 at st. Ayon kay Bargo 2014 may tatlong uri ng memo ayon sa layunin nito. Filipino sa Piling Larang.
Para sa kanilang bahagi ang maramihang mga memoranda ay naglalayon sa isang mas. Memorandum para sa kahilingan Memorandum para sa kabatiran Memorandum para sa pagtugon Ang memo ay dapat mataglay ng mga sumusunod. Mga palatandaan at sintomas para sa kahit anong uri ng meningitis ay maaaring magsama ng.
Learn vocabulary terms and more with flashcards games and other study tools. Tumutulong ito para ipaalala ang mahahalagang detalye sa trabaho organisasyon o negosyo. BARAYTI NG WIKA Sa paksang ito malalaman natin ag mga uri ng barayti ng wika at mga halimbawa ng bawat isang uri nito.
Ito ay isang kasulatang nagbibigay kabatiran tungkol sa gagawing pulong o paalala tungkol sa isang mahalagang impormasyon gawain tungkulin o utos. Personal Blog Halos walang tema ang blog na ito kahit ano puwede. KAHULUGAN URI BAHAGI HALIMBAWA PAGSULAT PINADALI.
Ito tumutukoy sa mga pangngusap na nagkakaisang umiikot sa iisang diwa. Memorandum para sa kabatiran. Ang memorandum ay galing sa salitang Latin memorandum est.
Ito ay HINDI isang liham. Ang pagsulat nito ay maituturing ding isang sining. - kasangkapan sa pagkatuto ng mga kabatiran ukol sa ibat ibang larangan ng pamumuhay.
22022020 Mga Halimbawa Ng Tagalog Memorandum. Mga Halimbawa Ng Tagalog Memorandum. Nababatid at nailalapat ang mga dapat tandaan sa pagsulat at ang mga katangiang dapat taglayin ng mabisang liham pangnegosyo at memorandum.
Study Memorandum Adyenda at Katitikan Ng Pulong flashcards. -uri mg pagsulat sa mga teksbuk riserts lab report o. Ang Memorandum ay isang akademikong sulatin na naglalayong maipabatid sa mga tao ang mga impormasyon ukol sa.
Ang mga kilala at malalaking kompanya at mga institusyon ay kalimitang gumagamit ng mga colored stationery para sa kanilang mga memo tulad ng mga sumusunod puti ginagamit sa mga pangkalahatang kautusan direktiba o impormasyon. Ipinaliwanag niya roon ang pakahulugan at ang mga mekanismo ng talinghaga sang-ayon sa naging gamit nito sa ibat ibang yugto ng kasaysayan. 04022020 View URI-NG-AKADEMIKONG-SULATINpptx from HUMANITIES 124 at Columban College - Olongapo City.
Fashion Blog Ito ang pinakasikat na uri ng blog. Mahalaga ang pagsulat sapagkat nagiging daan ito upang. Memorandum Adyenda at Katitikan Ng Pulong.
Isang akademikong sulatin na naglalaman ng mga tala rekord o pagdodokumento ng mga mahahalagang puntong nailahad sa isang pagpupulong. O Pinakaaktibong anyo ng korespondensya. Ginagamit ang mga simpleng memo kapag kailangan mong ipaalam ang isang bagay sa isang tukoy na tao halimbawa ang paghahatid ng isang ulat sa trabaho o anunsyo ng isang aktibidad.
Start studying Mga bahagi ng isang memorandum. LAYUNIN Nabibigyang-kahulugan ang korespondensiya at natutukoy ang mga pangunahing uri nito. Sa sandaling ang pangunahing anyo ng panloob na nakasulat na komunikasyon ang mga memorandum o mga memo ay tinanggihan sa paggamit mula.
Isa itong kasulatan dokumento o iba pang uri ng pakikipagtalastasan na pasulat. Kahulugan ng Panitikan at mga Uri nito Ano ang Panitikan. Ang mga blogger na gumagamit ng ganitong uri ng blog ay maaari lamang nilang.
Mga Uri ng Blog. Kahulugan ng Talata Katangian Ng Isang Mahusay Na Talata. Ang mga blog na may ganitong tema ay naglalaman ng mga damit o kung ano man ang bago sa mundo ng fashion o pananamit.
Nagangahulugan ito sa Ingles ng It must be remembered that. Gayunman may mga memo din na ipinapadala sa labas ng kompanya o organisasyon sa pamamagitan ng e-mail o. ESGUERRA Guro sa Filipino MEMORANDUM o MEMO Ang memo ay karaniwang isinusulat para sa mga taong nasa loob ng isang organisasyon o kompanya.
16102016 KATANGIAN LAYUNIN AT GAMIT NG AKADEMIKONG SULATIN Ang Akademikong Pagsulat ay isang masusing pagsulat. Ang Kahulugan ng Globalisasyon sa Sosyolohiya. O Naaayon ito sa internal or panloob at inter-branch.
Para mas madaling intindihin hatiin nating ang mga uri ng sakit sa ulo sa dalawang grupo. Memo ang pinaikli o abbreviation ng salitang. Suriin ang kahulugan layunin mga katangian gamit anyo porma ng Memorandum.
Sa kabilang banda mayroong dalawang uri ng memorandum. Memorandum FILIPINO IMCC BED 12G. Natutukoy ang kahulugan ng liham pangnegosyo at memorandum.
Ang pinakatukoy na halimbawa ng epekto ng globalisasyon sa negosyo ay mga pandaigdigang tanikala ng produksyon. Kahit mayroong panuntunan sa pagsulat nito at mayroon itong dalawang anyo nahahati pa rin ito sa ibat ibang uri na nagbibigay ng kaibahan sa mga tulang maaaring isulat. Ito ay kailangang makatotohanan at organisado ayon sa pagkakasunod-sunod.
Memorandum O Uri ng komunikasyon na sinusulat at ginagamit upang maghatid ng mga mensahe o kalatas sa mga taong kasama ng sumusulat ng tanggapan. Kahulugan Kalikasan at Katangian ng. Ibat ibang kulay ng memo tatlong uri ng memorandum bahagi ng memorandum agenda.
![]()
Memorandum Docx Memorandum Kahalagahan Ng Memorandum 1 Isang Kasulatang Nagbibigay Kabatiran Tungkol Sa Gagawing Pulong O Paalala Tungkol Sa Isang Course Hero

Liham Pangnegosyo At Memorandum
Solved Tayahin Panuto Pagtukoy Sa Katangian Ng Memorandum Kahulugan Kalikasan Mga Katangian Layunin Gamit Anyo Memorandum Isulat Ito Course Hero
Tidak ada komentar